加入收藏
|
设为首页
|
联系我们
首页
校情总览
学校简介
学校荣誉
校园风光
学校地图
校务公开
新闻中心
校园新闻
通知公告
一周工作
教学教研
教务信息
教研时空
校本培训
德育在线
德育活动
团学阵地
国旗下讲话
心灵家园
健康教育
师生风采
党建之窗
组织机构
党员活动
理论学习
反邪教专栏
数字服务
钉盘
云图书馆
教学教育资源
学生学籍系统
教师培训平台
网上阅卷系统
浙江教育资源公共平...
全国教师系统
瓯海智慧教育云平台
温州市初中学生综合...
德育活动
团学阵地
国旗下讲话
心灵家园
健康教育
当前位置:
网站首页
>
德育在线
>
德育活动
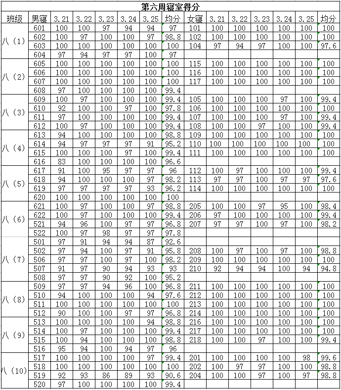
2015学年第二学期八年级第六周寝室得分公布
作者: 发布日期:2016年03月28日 09:28 浏览次数:
校园地图
教育OA
翼 校 通
联系方式
校情总览
学校简介
学校荣誉
校园风光
学校地图
校务公开
新闻中心
校园新闻
通知公告
一周工作
教学教研
教务信息
教研时空
校本培训
德育在线
德育活动
团学阵地
国旗下讲话
心灵家园
健康教育
师生风采
党建之窗
组织机构
党员活动
理论学习
反邪教专栏
温州市娄桥外国语学校 © 版权所有 学校地址:温州市瓯海区瓯海大道新区府旁
浙ICP备15005278号
技术支持:
捷点科技
友情链接:
中国禁毒展览馆
|
浙江禁毒网
|
中国反邪教网
浙公网安备 33030402000642号